Cuando una persona pasa por el sistema de detención migratoria en Estados Unidos, hay varios documentos que puede recibir al momento de ser liberada.
Uno de documentos es el formulario I-220A, también llamado “Orden de Liberación Bajo Palabra” (“Order of Release on Recognizance”).
Este documento genera muchas dudas entre quienes lo reciben, en espacial sobre qué significa para su situación legal y qué obligaciones trae consigo.
En este artículo, te contamos:
- Qué es exactamente el formulario I-220A y para qué sirve.
- Cuándo y por qué las autoridades migratorias lo entregan.
- Qué obligaciones y restricciones conlleva.
- Cómo afecta tu estatus migratorio y tus opciones legales.
- Qué diferencias existen entre el I-220A y otros documentos migratorios.
- Qué pasos debes seguir si recibes un I-220A.
- Y qué precauciones y oportunidades debes tener en cuenta para tu futuro migratorio.
Qué es exactamente el I-220A
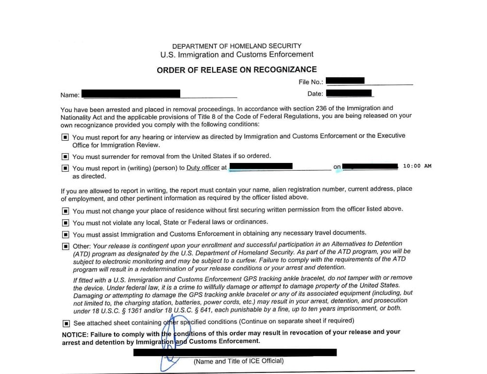
El formulario I-220A es un documento oficial que emite el Servicio de Inmigración y Control de Aduanas (ICE, por sus siglas en inglés).
Básicamente, este papel registra que una persona fue detenida por autoridades migratorias y luego liberada mientras su caso avanza en el sistema de inmigración.
La palabra clave aquí es “liberación bajo palabra”, que significa que la persona puede salir de la detención sin pagar una fianza, pero debe cumplir ciertas condiciones.
Es fundamental entender desde el principio que este documento no es un estatus migratorio. No te convierte en residente legal ni es una visa. Tampoco te da permiso de trabajo automáticamente.
Lo único que hace es documentar que ICE decidió dejarte salir de su custodia mientras tu caso continúa en las cortes de inmigración.
Cuándo y por qué se entrega este formulario
Las autoridades migratorias entregan el I-220A en situaciones específicas.
Generalmente ocurre cuando alguien fue arrestado y puesto en proceso de deportación, pero ICE determina que esa persona no representa un peligro para la comunidad ni existe gran riesgo de que huya.
La agencia, entonces, decide liberar a la persona de la detención en lugar de mantenerla encerrada durante meses o años mientras se resuelve su caso.
Este documento es común entre ciertos grupos de personas. Por ejemplo, miles de cubanos que llegaron a la frontera entre Estados Unidos y México han recibido el I-220A después de ser procesados por las autoridades fronterizas.
También se da a personas de otras nacionalidades cuando hay espacio limitado en los centros de detención o cuando factores humanitarios sugieren que mantener a alguien detenido no es necesario.
La decisión de dar un I-220A en lugar de otros documentos o de mantener a alguien detenido depende de varios factores. Las autoridades consideran el historial criminal de la persona, si tiene familia en Estados Unidos, cuánto tiempo lleva en el país y si hay razones para creer que se presentará a sus citas con inmigración.
Las partes principales del documento
El formulario I-220A tiene varias secciones que es importante conocer.
La primera página contiene información básica como tu nombre, tu número de registro de extranjero (conocido como número A), la fecha en que fue emitido y la firma del oficial de ICE que autorizó tu liberación.
Una parte clave son las condiciones de liberación. Estas aparecen marcadas con pequeñas casillas y representan las reglas que debes seguir obligatoriamente.
Entre las condiciones más comunes está la obligación de presentarte a todas las audiencias en la corte de inmigración, reportarte regularmente a las oficinas de ICE cuando te lo indiquen, no cometer ningún delito mientras estés liberado y mantener actualizada tu dirección tanto con ICE como con la corte.
Muchos formularios I-220A incluyen una condición especial relacionada con programas de alternativas a la detención. Esto puede significar que te pongan un grillete electrónico en el tobillo para monitorear tu ubicación, que tengas un toque de queda o que debas reportarte por teléfono o en persona con regularidad. El documento explica claramente que si te quitan o dañas el dispositivo de monitoreo, puedes enfrentar cargos criminales federales además de ser arrestado nuevamente por ICE.
El formulario también tiene una página de continuación donde los oficiales de ICE registran cada vez que te presentas a reportarte. Esta sección funciona como un historial de cumplimiento con las condiciones de tu liberación.
Qué significa estar bajo un I-220A
Tener un I-220A significa que estás en una zona gris del sistema migratorio.
Por un lado, no estás detenido y puedes vivir con tu familia, trabajar si tienes permiso separado y moverte con relativa libertad.
Por otro lado, sigues bajo la supervisión de ICE y tu caso de deportación continúa activo en las cortes.
Es importante aclarar que el I-220A no frena tu proceso de deportación. Tu caso sigue avanzando ante un juez de inmigración. Y, si ese juez ordena tu deportación al final del proceso, la orden seguirá siendo válida. El documento solo significa que mientras se resuelve tu caso, puedes estar fuera de detención en lugar de encerrado.
Esta situación te da tiempo y oportunidad para buscar formas de arreglar tu situación migratoria. Mientras estás bajo un I-220A, puedes:
- solicitar asilo si calificas;
- pedir una cancelación de deportación si cumples los requisitos;
- aplicar para Estatus de Protección Temporal (TPS) si tu país está designado, o
- explorar otras formas de alivio migratorio con ayuda de un abogado.
Sin embargo, el I-220A trae restricciones importantes. No puedes cambiar de dirección sin pedir permiso por escrito a tu oficial de caso en ICE. Si necesitas viajar fuera de tu área local, también debes obtener autorización previa. Ignorar estas reglas puede resultar en que cancelen tu liberación y te vuelvan a detener.
El tema del estatus migratorio y el I-220A
Una de las confusiones más grandes sobre el I-220A es pensar que da algún tipo de estatus legal. Esto no es así.
El documento es puramente administrativo y no te otorga ningún derecho a permanecer legalmente en Estados Unidos. Simplemente documenta que ICE te liberó de su custodia física mientras tu caso está pendiente.
Para la mayoría de personas que reciben un I-220A, esto significa que se considera que están “presentes sin inspección” o “presentes sin admisión” en términos legales.
Esta distinción es importante porque afecta qué opciones migratorias pueden estar disponibles más adelante. Por ejemplo, si entraste al país sin ser inspeccionado por un oficial de inmigración y luego recibiste un I-220A, generalmente no puedes ajustar tu estatus a residente permanente desde dentro de Estados Unidos, incluso si te casas con un ciudadano americano o calificas por otra vía.
Hay excepciones a esta regla. Algunas personas pueden ajustar su estatus dentro del país si están protegidas bajo leyes especiales como la sección 245(i), si son beneficiarias de la Ley de Violencia contra la Mujer conocida como VAWA o si reciben asilo aprobado.
Para los cubanos específicamente, el I-220A puede tener implicaciones especiales bajo la Ley de Ajuste Cubano, pero esto requiere consulta con un abogado porque las reglas son complejas.
Obligaciones y consecuencias de no cumplir
Las condiciones que aparecen en tu I-220A no son sugerencias, son órdenes legales.
Incumplir cualquiera de estas condiciones puede tener consecuencias serias. La más inmediata es que ICE puede cancelar tu liberación y volver a detenerte. Una vez que estás detenido nuevamente, es mucho más difícil que te vuelvan a liberar.
Además, violar las condiciones puede usarse en tu contra en la corte de inmigración. El juez puede ver tu falta de cumplimiento como evidencia de que no respetas las leyes o que representas un riesgo de fuga, lo cual puede influir negativamente en su decisión sobre tu caso.
Algunas violaciones traen consecuencias criminales. Si te pusieron un monitor electrónico y lo dañas o intentas quitártelo, puedes ser acusado bajo leyes federales que castigan la destrucción de propiedad del gobierno. Las penas por esto pueden incluir multas y hasta diez años de prisión.
Cometer cualquier crimen mientras estás bajo un I-220A es particularmente problemático. Incluso arrestos por ofensas menores pueden resultar en que ICE te vuelva a tomar bajo custodia y puede impactar negativamente cualquier solicitud de alivio migratorio que estés buscando.
La importancia de mantener la comunicación
Una de las condiciones más críticas del I-220A es mantener actualizada tu información de contacto.
Si te mudas a una nueva dirección, debes notificar tanto a ICE como a la corte de inmigración dentro de los plazos correspondiente, que generalmente son diez días. No hacer esto puede resultar en que un juez ordene tu deportación en ausencia, lo que significa que emiten una orden sin que tú estés presente para defenderte.
El formulario también requiere que te presentes a reportarte con ICE según el calendario que te den. Estos reportes pueden ser en persona en una oficina de ICE, por teléfono a través de un número específico que es el 833-383-1465 o mediante una aplicación o sitio web si estás inscrito en un programa de supervisión alternativa. Faltar a estos reportes sin una razón válida es considerado una violación de las condiciones de tu liberación.
Si tienes una emergencia que te impide cumplir con un reporte o una cita en corte, es crucial que contactes a ICE o a la corte lo antes posible para explicar la situación. Tener documentación de la emergencia, como un certificado médico o un comprobante de un accidente, puede ayudar a evitar consecuencias negativas.
Diferencias con otros documentos migratorios
Es útil entender cómo el I-220A se compara con otros documentos que las personas pueden recibir del sistema de inmigración.
A diferencia del I-94 que registra tu entrada legal al país, el I-220A no documenta una admisión legal.
Mientras que el I-766 es un permiso de trabajo que te autoriza a ganar dinero legalmente, el I-220A no te da ningún permiso laboral por sí mismo.
Algunas personas confunden el I-220A con el “parole” migratorio, pero son cosas diferentes. El “parole” es una autorización temporal para estar en Estados Unidos que se da por razones humanitarias o de beneficio público, y técnicamente cuenta como una entrada legal para ciertos propósitos. El I-220A no es “parole” y no cuenta como entrada legal.
El I-220A tampoco es lo mismo que una fianza migratoria. Cuando alguien paga una fianza, entrega dinero al gobierno que recuperará si cumple con todas sus obligaciones, pero aun así recibe un documento diferente. El I-220A se da sin necesidad de pagar ninguna cantidad de dinero, de ahí el término “bajo palabra”.
Qué hacer si recibes un I-220A
Si te entregan este documento, lo primero es leerlo con cuidad y asegurarte de entender todas las condiciones marcadas. Muchos formularios están en inglés, así que, si no dominas el idioma, busca ayuda para que alguien te lo traduzca.
El documento debe indicar cuándo y dónde es tu próxima cita con ICE y cuándo es tu primera audiencia en corte de inmigración.
Tu número A aparece en el formulario y es muy importante. Puedes usarlo para verificar el estatus de tu caso en línea a través del sistema de las cortes de inmigración. Guarda este número en un lugar seguro y memorízalo si es posible.
Buscar un abogado de inmigración es prioritario. Aunque no estás obligado a tener un abogado en los casos migratorios, la representación legal aumenta tus posibilidades de obtener un resultado favorable. Un abogado puede evaluar si calificas para alguna forma de alivio migratorio, ayudarte a preparar tu caso y representarte en la corte.
Impacto en opciones de inmigración futuras
Haber recibido un I-220A y haber estado en proceso de deportación puede llegar a afectar tus opciones migratorias en el futuro.
Si eventualmente ganas tu caso y el juez decide tu proceso de deportación a tu favor, el hecho de haber tenido un I-220A en general no será un problema mayor.
Sin embargo, si pierdes tu caso y recibes una orden final de deportación, esto puede crear barreras para regresar a Estados Unidos legalmente en el futuro. Las personas con órdenes de deportación pueden quedar prohibidas de reingresar por períodos de tres, diez o incluso veinte años, dependiendo de las circunstancias.
Para quienes están buscando obtener una tarjeta verde o la ciudadanía, el tiempo que pasaron bajo un I-220A puede ser complicado de explicar en futuras aplicaciones. No hace imposible obtener estatus legal, pero sí requiere documentación cuidadosa. Es recomendable recurrir a un abogado que pueda manejar todo correctamente en estos casos.
Consideraciones especiales para diferentes nacionalidades
Aunque el I-220A funciona de manera similar para todos, hay algunas consideraciones específicas según la nacionalidad.
Los cubanos que reciben este documento después de entrar a Estados Unidos pueden calificar para ajustar su estatus bajo la Ley de Ajuste Cubano después de estar físicamente presentes en el país por un año. Sin embargo, hay debates legales sobre si el tiempo bajo un I-220A cuenta para este requisito, por lo que es esencial consultar con un abogado especializado.
Personas de países con Estatus de Protección Temporal (TPS) vigente pueden solicitar este beneficio incluso si tienen un I-220A, siempre que cumplan con los demás requisitos. El TPS puede dar permisos de trabajo y protección contra la deportación mientras esté vigente.
Quienes vienen de países donde hay conflicto armado, desastres naturales o persecución pueden tener bases más fuertes para solicitar asilo. El hecho de tener un I-220A no afecta tu derecho a buscar asilo, aunque sí significa que ya estás en proceso de deportación y deberás presentar tu solicitud de asilo como defensa ante el juez de inmigración en lugar de hacerlo afirmativamente con USCIS.
El papel del I-220A en los programas de alternativas a la detención
Muchas personas que reciben un I-220A son inscriptas de forma automática en lo que se conoce como programas de alternativas a la detención (ATD, por sus siglas en inglés).
Estos programas usan diferentes métodos para supervisar a las personas mientras sus casos están pendientes, para asegurar que cumplan con sus obligaciones sin necesidad de detenerlos.
El nivel de supervisión varía. Algunos solo requieren que te reportes por teléfono semanalmente usando una aplicación móvil o un número telefónico específico.
Otros involucran visitas en persona a una oficina de ICE cada cierto tiempo.
Los casos considerados de mayor riesgo pueden incluir monitoreo electrónico GPS mediante un dispositivo que se usa en el tobillo las 24 horas del día.
Si te asignan un monitor electrónico, recibirás instrucciones sobre cómo cargarlo y cuidarlo. Estos dispositivos no se pueden sumergir en agua, así que necesitas protección especial para ducharte. También te darán un toque de queda, por lo general durante la noche, cuando debes estar en tu domicilio registrado. Salir de tu casa durante el toque de queda sin autorización previa generará una alerta y puede resultar en tu redetención.
Reflexiones finales sobre el I-220A
El formulario I-220A es una oportunidad para las personas en proceso de deportación de permanecer con sus familias mientras se resuelve su caso, en lugar de pasar meses o años en detención. Sin embargo, viene con responsabilidades serias que no pueden tomarse a la ligera.
Entender exactamente qué significa este documento, qué obligaciones trae y cómo puede afectar tu futuro migratorio es el primer paso para manejarlo como corresponde.

Leave a Reply